Vamos a poder identificar una ecuación de segundo grado cuando exponente mayo de la incógnita (letra) es un 2.
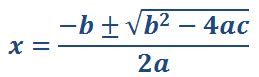
Por ejemplo 5x2 + 7x + 6 = 0. Para resolver una ecuación cuadrática hay que hallar sus raíces para lo cual se pueden usar dos métodos, uno es factorizar el trinomio y el otro aplicando la fórmula cuadrática, expresada abajo.
Para aplicar la fórmula cuadrática hay que asignar los valores de “a, b, c” que los vamos a obtener de la ecuación de segundo grado de la forma siguiente.
Al final, video y ejercicios.
EJEMPLO I
20 – 2x2 + 3x
PASO I
Ordenar la ecuación de segundo grado este en orden ascendente e igualarlas a cero, que quiere decir del exponente mayor al menor. Por ejemplo, si tenemos 20 – 2x2 + 3x, el orden correcto es poner primero la incógnita (letra) que este elevada al cuadrado, seguida de la incógnita que no tienen exponente pero sabemos que es uno, y por último el número que no tiene incógnita. Nos quedaría de la siguiente manera:
– 2x2 +3x + 20 = 0
Como puedes observar cada término va acompañado de su signo y después de ordenarla solo se iguala a cero.
Puede haber diferentes maneras en que se exprese la ecuación de segundo grado, por ejemplo – 2x2 + 3x = – 20
En este caso hay que despejar si es necesario, tal como se hace en las ecuaciones de primer grado. Después de hacerlo tenemos:
– 2x2 + 3x + 20 = 0
(pon especial atención en el signo del número cinco ya que pasa del otro lado del signo igual con el signo contrario).
PASO II
Asignar los valores de (a, b, c) a los tres términos que componen la ecuación, donde el primer número va a ser “a”, el segundo “b” y el tercero “c” ejemplo:
– 2x2 + 3x + 20 = 0
a = – 2 b = 3 c = 20
PASO III
Una vez asignados los valores de (a, b, c) hay que sustituirlos en la fórmula cuadrática respetando tanto los signos de la fórmula como los de cada término. Con los valores anteriores queda de la siguiente manera:
PASO IV
Para resolver la fórmula cuadrática hay que empezar con las operaciones que están dentro del símbolo de radical.
- Elevar el 32 = 9
- Multiplicar – 4 ( – 2) (20) = 160
- Multiplicar los denominadores 2 ( – 2) = – 4
- Sumar ambos 9 + 160 = 169
- Obtener la raíz cuadrada de 169 = 13 y expresa los dos posibles valores de “x”. ATENCIÓN: como la respuesta de la raíz cuadrada puede ser + o – (positiva o negativa) se expresan los dos posibles valores de “x” en uno sumando y en otro restando, es por esa razón que un 13 va a ser positivo y otro negativo.
- Resolver las operaciones correspondientes para obtener los dos valores de “x”
Los valores de “x” o raíces de la ecuación cuadrática son: x = – 2 ½ y x = 4
EJEMPLO II
2 – 3x2 = 5x
PASO I
Ordenar la ecuación cuadrática (al pasar el 5x del otro lado del signo igual, cambia de signo).
– 3x2 – 5x + 2 = 0
PASO II
Asignar los valores de (a, b, c) en la ecuación y queda:
a = – 3
b = – 5
c = 2
PASO III
Sustituir los valores en la fórmula cuadrática. (IMPORTANTE: el valor de “b” es – 5 y la fórmula también tiene un valor negativo, por tanto se deben escribir ambos signos), quedando de la siguiente manera:
PASO IV
Multiplicar signos y números, poniendo especial atención en la multiplicación de signos. Si aun no estas familiarizado con este tema repasa MULTIPLICACIÓN DE NÚMEROS CON SIGNO.
- – – 5 = 5 (se multiplican los signos)
- – 5 2 = 25
- – 4 ( – 3) (2) = 24
- – 2 ( – 3) = 6
Se acomodan los valores de cada operación en la fórmula cuadrática y continua resolviendo según corresponda.
PASO V
Sumar o restar los radicandos 25 + 24, y se obtiene su raíz cuadrada.
PASO VI
Separar los dos valores de la raíz cuadrada, uno va a ser positivo y otro negativo.
PASO VII
Sumar, restar y dividir según corresponda.
Los dos valores de son: x = – 2 y x = 1/3
EJERCICIOS DE PRACTICA
- 4x2 + 3x – 22 = 0
- x2 + 11x = – 24
- x2 = 16x – 63
- x² + 6x = – 8
- 5x2 – 7x – 90 = 0
RESPUESTAS:
1. x = 2, x = – 2¾
2. x = – 3, x = – 8
3. x = 9, x = 7
4. x = – 2, x = – 4
5. x = – 3 3/5, x = 5
ejemplo 2
Este ejemplo II esta incorrecto.
Al pasar 5x al lado izquierdo solo este cambia de signo.
Porque tambien han cambiado el signo de positivo a negativo en 3x cuadrada?
Atentamente
Signos
Gracias Salvador, tienes toda la razón en tu observación, digamos que ustedes son mis editores 😉 , saludos!!!
me puedes explicar como despejar de la ecuacion cuadratica la «a» EN VEZ DE LA «X»
Gracias
Juli, se siguien los mismos pasos, solo que en lugar de la «x» se usa la «a» o incluso pueden usar cualquier letra.
ejercicios de practica
Estos son muy buenos ejercicios.
Gracias
2014
hola profe quisiera saber si estos temas son para el nuevo ged 2014.
Si
Todos los temas nuevos de algebra que estoy incorporando son los que se incluyen en el nuevo examen, aparte todos los otros temas, osea que hay que aprender todo lo del examen viejo (menos angulos) y aparte los temas nuevos.
GED
QUIERO HAHER EL GED EN ESPAÑOL EN OLINE, EN QUE PAGINA ME PUEDO REGISTRAR?
GED pasos para registrarse
El examen del GED no se puede hacer en linea, si una pagina te ofrece hacer el examen en linea, es fraude. Lo que puedes hacer usando el internet es estudiar. Para hacer tu examen del GED si te puedes y debes registrar en linea pero al momento de hacer el examen debes acudir en persona con una identificación valida a uno de los centros autorizados. En este enlace se explica como registrarte.
janet garcia
me puede ayudar con la numero 2
profe trate de resolver los
profe trate de resolver los problemas 2 al 5 pero no pude me puede ayudar
Formula cuadratica
Revisa la 1 y la 4, la primera la corregí y la 4 la cambie. Para la 2 presta atención al cambio de signo, si tienes x² = 16x – 63, tienes que pasar del otro lado del signo igual el 16x – 63 y al hacerlo cambia el signo y queda x² – 16x + 63, a partir de ahí sustituye valores y OJO en la primera parte de la formula te va a quedar – – 16 y ese se convierte a positivo (multiplicas – por – = +). Dentro del signo de radical también pos atención, vas a tener – 16² y ahí también multiplicas signos, al final te queda positivo 256. Trara de resolverla con esas pistas y me haces saber como te va, lo mismo aplica para la 5, probablemente el error esta en el signo negativo. Saludos!!
Hola
Tengo una duda es lo mismo ECUACIONES DE SEGUNDO GRADO y ECUACIONES CUADRATICAS??????
Espero pronto su respuesta…..
Muchas Gracias.
Complementarias
Todo inicia con el trinomio cuadrado, (tiene tres terminos, uno de ellos elevado al cuadrado) para resolver los trinomios cuadrados se hace uso de la formula cuadrática y las ecuaciones de segundo grado representadas en y = ax2 + bx + c
ayuda porfavor
Estaba practicando con otros problemas.
x cuadrado -6x = 0. Si A= x cuadrado, B= -6x… cual vendria siendo el valor de c?
codigos
Tu comenario esta en codigos, no le entiendo 🙁
Buenas noches!! Tengo una
Buenas noches!! Tengo una duda con respecto a la ultima operacion se deve simplifica la ultima fracciono que operacion deve realizarse? Gracias!!
Simplificar
Te refieres al ejemplo -2/-6 si es así si, se simplifica, y esto es buscando un número que divida tanto al numerador como al denominador sin dejar residuos hasta que ya no se pueda dividir mas.
pregunta
hola me puede explicar la #1 lo que pasa es que me sale X= -2.75 X=2
Hola Diego
Es correcta tu respuesta, ya la correguí, me haces saber si en las otras tienes el mismo resultado, gracias!!! 😉
ayuda
hola maestra ayuda por favor no entiendo seria posible que agregara un video? entiendo el prosedimiento pero en el momento de despejar me pierdo por completo espero me pueda contestar mi mensaje gracias.
Temas previos
Hola, ¿ya terminaste de revisar todos los temas anteriores de algebra? sobre todo las operaciones (suma, resta, multiplicación y división) de los números con signo, esa es la parte mas confusa ya que si no se domina la ley de signos para esas operaciones siempre va a salir mal la respuesta. Mas delante si hay oportunidad pongo un video. Saludos!!
Hola Luz, podria ayudarme con
Hola Luz, podria ayudarme con la #3, no me sale. Gracias
ya encontre mi error
ya me salio! gracias, le estaba aumentando el 3 a la x, y ese era el numero del exercicio! jajaja, creo que ya estoy cansada de tanto numero. Por eso no me salia! … Gracias de todas maneras Luz, hace un excelente trabajo. 🙂
A todos nos pasa!!!
Siiii, a mi también me pasa, de tanto número al final se me cruzan, omito alguno o incluso los signos, así que no te preocupes, es normal… 🙂
ayuda
grasias maietra por todo . tengo una duda en la numero 5. si me podria explicar la numero 5.
ya lo resolbi
ya lo tengo pero ami me sali asi.
5 y – 3 3/5 y a usted -3 3/5 y 5 nadamas alreves
jajja no se si estoy bien?
Correcto
Si estas bien, los dos valores representan dos distintos valores de "x" no importa el orden 😉
me puede explicar o decir como se ordena.
el valor de abc
El valor de «a» siempre es el número que esta junto a la letra al cuadrado o que tiene el dos en la parte superior derecha, si no hay ningún número, su valor es 1.
El valor de «b», es el número que esta junto a la letra que no tiene ningún exponenete, ejemplo. 4x (b=4), 9m (m=9).
El valor de «c», es el número que no tiene ninguna letra.
como utilizar la forma cuaratica parabesta ecuacion que tenga este valor t=3+ riz cuadrada de 13 sobre 2
Hola Deicy,
La formula cuadratica se aplica solo a trinomios cuadrados, quiere decir que uno de los términos debe estar elevado al cuadrado y con una variable, el segundo debe tener una incognita y un tercero no incognita.
No me queda muy claro lo que comentas t=3+√13/2 eso es lo que quiciste expresar? De ser así haría falta una incognita en la fracción. Si despejas a la izquierda incluyento esa incognita, queda así: – 13/2(t) + t -3 a = -13/2, b = 1, c = -3 pero repito, no estoy segura si esos son los valores que pusiste.
Hola. En una función cuadrática dónde a=-1 b=2 c=-3 . Cuáles serían sus raíces??
¿Podrías escribir el trinomio para determinar si los valores de a, b y c con correctos? Hay un signo que no cuadra